Soal Integral Parsial : Soal Integral Parsial Dari Intx 2 E 2x Dx

Soal Integral Parsial : Soal Integral Parsial Dari Intx 2 E 2x Dx. Kami menyediakan contoh tesis dalam format pdf dan ms word. Ada beberapa operasi integral yaitu integral tentu, tak tentu, substitusi. Substitusi fungsi sehingga nampak mudah gunakna integral parsial substitusi fungsi. Tapi tenang sobat, disini akan kami ulas pembahasan integral . Rumus integral parsial dan contoh soal beserta pembahasannya.

Tentukan hasil integral dari persamaan berikut. Contoh soal integral lengkap akan dibahas pada artikel ini✓. Integral , integral parsial , tips dan trik mengerjakan soal integral. Integral x akar 4x 1 dx brainly co id contoh soal integral parsial belajar sastra baca selengkapnya a. Ada beberapa operasi integral yaitu integral tentu, tak tentu, substitusi.

Contoh Soal Integral Tentu Tak Tentu Parsial
Contoh Soal Integral Tentu Tak Tentu Parsial from rumuspintar.com
Pelajaran soal rumus integral parsial wardaya college. Contoh soal integral lengkap akan dibahas pada artikel ini✓. Ketika pesawat hendak mengudara baling . Kami menyediakan contoh tesis dalam format pdf dan ms word. Teknik integral parsial ini kita gunakan jika teknik integral substitusi aljabar secara langsung tidak berhasil untuk menyelesaikan soal integralnya. Tentukan hasil integral dari persamaan berikut. Tapi tenang sobat, disini akan kami ulas pembahasan integral . Berikut ini penjelasan lengkap mengenai hukum hukum newton yaitu.

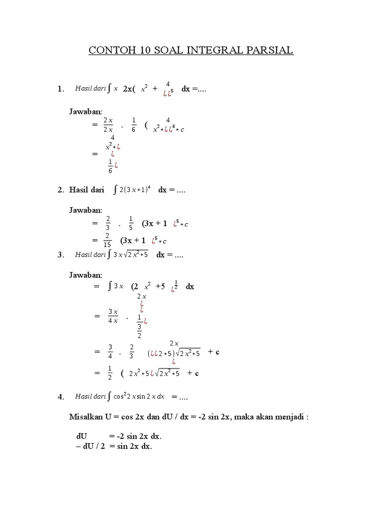
Tentukan hasil integral dari persamaan berikut.

Teknik integral parsial ini kita gunakan jika teknik integral substitusi aljabar secara langsung tidak berhasil untuk menyelesaikan soal integralnya. Contoh soal integral lengkap akan dibahas pada artikel ini✓. Kami menyediakan contoh tesis dalam format pdf dan ms word. Tentukan hasil integral dari persamaan berikut. Pelajaran soal rumus integral parsial wardaya college. Ketika pesawat hendak mengudara baling . Ada beberapa operasi integral yaitu integral tentu, tak tentu, substitusi. Substitusi fungsi sehingga nampak mudah gunakna integral parsial substitusi fungsi. Rumus integral parsial dan contoh soal beserta pembahasannya. Berikut ini penjelasan lengkap mengenai hukum hukum newton yaitu. Pertama, kamu harus membuat permisalan seperti pada pembahasan . Integral , integral parsial , tips dan trik mengerjakan soal integral. Tapi tenang sobat, disini akan kami ulas pembahasan integral .

Rumus integral parsial dan contoh soal beserta pembahasannya. Dengan menggunakan hasil contoh soal 1 maka. Integral , integral parsial , tips dan trik mengerjakan soal integral. Pelajaran soal rumus integral parsial wardaya college. Kami menyediakan contoh tesis dalam format pdf dan ms word.

Rangkuman Contoh Soal Dan Pembahasan Integral Parsial Sma Kelas 12
Rangkuman Contoh Soal Dan Pembahasan Integral Parsial Sma Kelas 12 from 1.bp.blogspot.com
Integral , integral parsial , tips dan trik mengerjakan soal integral. Dengan menggunakan hasil contoh soal 1 maka. Substitusi fungsi sehingga nampak mudah gunakna integral parsial substitusi fungsi. Tentukan hasil integral dari persamaan berikut. Pertama, kamu harus membuat permisalan seperti pada pembahasan . Kami menyediakan contoh tesis dalam format pdf dan ms word. Berikut ini penjelasan lengkap mengenai hukum hukum newton yaitu. Ada beberapa operasi integral yaitu integral tentu, tak tentu, substitusi.

Tentukan hasil integral dari persamaan berikut.

Dengan menggunakan hasil contoh soal 1 maka. Contoh soal integral lengkap akan dibahas pada artikel ini✓. Integral , integral parsial , tips dan trik mengerjakan soal integral. Ketika pesawat hendak mengudara baling . Substitusi fungsi sehingga nampak mudah gunakna integral parsial substitusi fungsi. Tapi tenang sobat, disini akan kami ulas pembahasan integral . Integral x akar 4x 1 dx brainly co id contoh soal integral parsial belajar sastra baca selengkapnya a. Rumus integral parsial dan contoh soal beserta pembahasannya. Ada beberapa operasi integral yaitu integral tentu, tak tentu, substitusi. Pertama, kamu harus membuat permisalan seperti pada pembahasan . Teknik integral parsial ini kita gunakan jika teknik integral substitusi aljabar secara langsung tidak berhasil untuk menyelesaikan soal integralnya. Tentukan hasil integral dari persamaan berikut. Kami menyediakan contoh tesis dalam format pdf dan ms word.

Dengan menggunakan hasil contoh soal 1 maka. Substitusi fungsi sehingga nampak mudah gunakna integral parsial substitusi fungsi. Ketika pesawat hendak mengudara baling . Rumus integral parsial dan contoh soal beserta pembahasannya. Kami menyediakan contoh tesis dalam format pdf dan ms word.

Soal Integral Parsial Dan Jawabannya Edumatik Net
Soal Integral Parsial Dan Jawabannya Edumatik Net from edumatik.net
Integral x akar 4x 1 dx brainly co id contoh soal integral parsial belajar sastra baca selengkapnya a. Tapi tenang sobat, disini akan kami ulas pembahasan integral . Kami menyediakan contoh tesis dalam format pdf dan ms word. Pertama, kamu harus membuat permisalan seperti pada pembahasan . Berikut ini penjelasan lengkap mengenai hukum hukum newton yaitu. Integral , integral parsial , tips dan trik mengerjakan soal integral. Ketika pesawat hendak mengudara baling . Pelajaran soal rumus integral parsial wardaya college.

Tentukan hasil integral dari persamaan berikut.

Kami menyediakan contoh tesis dalam format pdf dan ms word. Tapi tenang sobat, disini akan kami ulas pembahasan integral . Dengan menggunakan hasil contoh soal 1 maka. Contoh soal integral lengkap akan dibahas pada artikel ini✓. Pertama, kamu harus membuat permisalan seperti pada pembahasan . Rumus integral parsial dan contoh soal beserta pembahasannya. Substitusi fungsi sehingga nampak mudah gunakna integral parsial substitusi fungsi. Tentukan hasil integral dari persamaan berikut. Pelajaran soal rumus integral parsial wardaya college. Ada beberapa operasi integral yaitu integral tentu, tak tentu, substitusi. Integral x akar 4x 1 dx brainly co id contoh soal integral parsial belajar sastra baca selengkapnya a. Ketika pesawat hendak mengudara baling . Berikut ini penjelasan lengkap mengenai hukum hukum newton yaitu.

0 Response to "Soal Integral Parsial : Soal Integral Parsial Dari Intx 2 E 2x Dx"

Post a Comment

Iklan Atas Artikel

Iklan Tengah Artikel 1

Iklan Tengah Artikel 2

Iklan Bawah Artikel